Looking for Plagiarism-Free Answers for Your US, UK, Singapore, New Zealand, and Ireland College/University Assignments?
Talk to an Expert| Category | Assignment | Subject | Education |
|---|---|---|---|
| University | University of Western Sydney (UWS) | Module Title | MECH3001 Advanced Dynamics |
The model of a robotic arm using a DC motor and set of gears is shown in figure below with disturbance torque To which represent the effect of the load, if e(s)=0 and the load effect is To(s) is a unit step input,

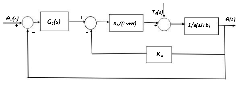
Consider the control system shown in the figure below, design a lead compensator Gc(s)= K (s + a) such that the unit step response will exhibit maximum overshoot less than 25% and settling time less than 3 sec.

Do You Need Assignment of MECH3001 Assignment 2
Order Non Plagiarized Assignmenta) A unity feedback control system shown in the figure below has the process
Design a PID controller using Ziegler-Nichols's secret and determine:

b) An altitude control system for an airplane is shown in the figure below
3. Select a suitable gain K so that the phase margin is 45°, explain your work. 4. Find the response C(t) of the system for the gain selected in part (3).
In this question you are asked to present a speed control system for gas turbine, steam turbine, petrol or diesel engine. In all these cases the position of the throttle lever sets the speed of the engine. The question will test your ability to perform research into your system, draw relationships of the dynamics that describe the system, block diagram to represent the system, make approximations (with a simple realistic mathematical model from research) so that the system has been clearly described and presented, your report is judged on the following:
Buy Answer of MECH3001 Assignment 2 & Raise Your Grades
Order Non Plagiarized AssignmentIf you are falling short of time left and searching for expert help for your MECH3001 Advanced Dynamics Assignment 2? Our team of professional diploma writers provides top-quality Assignment Help. Just write my assignment, and your assignment will be completed on time. We are ensuring you get the best results on our affordable Management Assignment Help. Contact us today for a plagiarism-free Assignment Solution. This will help you stand out from the rest with better grades.
Hire Assignment Helper Today!
Let's Book Your Work with Our Expert and Get High-Quality Content