Looking for Plagiarism-Free Answers for Your US, UK, Singapore, New Zealand, and Ireland College/University Assignments?
Talk to an Expert| Category | Assignment | Subject | Mathematics |
|---|---|---|---|
| University | The University of Adelaide | Module Title | MATHS 2106 Differential Equations for Engineers II |
When presenting your solutions to the assignment, please include some explanation in words to accompany your calculations. It is not necessary to write a lengthy description, just a few sentences to link the steps in your calculation. Messy, illegible or inadequately explained solutions may be penalised. The marks awarded for each part are indicated in boxes.
This assignment has 9 questions, for a total of 14 marks.
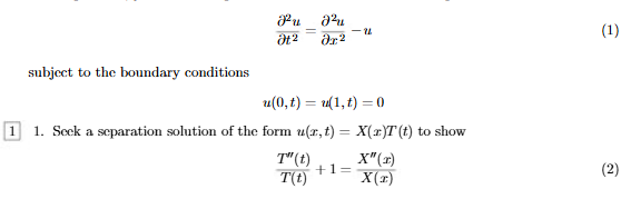
In this problem, you will use the separation of variables to solve the equation
Please keep the constant +1 on the t-dependence side. You could put it on the other side, but the math would get a bit messier later on.
Explain in your own words why both sides of the separated equation 2 must equal a constant.
Do You Need MATHS 2106 Assignment for This Question
Order Non-Plagiarised Assignment
Get expert assignment help Australia for MATHS 2106 Differential Equations for Engineers II! We specialise in offering high-quality mathematics assignment help, with an option for students to pay our experts to take on their assignment challenges. Need a reference? We also provide a free list of assignment examples to help you get started. With years of experience, our writers deliver 100% plagiarism-free content and offer unlimited revisions to meet your needs. Trust us to help you excel in your studies!
Hire Assignment Helper Today!
Let's Book Your Work with Our Expert and Get High-Quality Content