Looking for Plagiarism-Free Answers for Your US, UK, Singapore, New Zealand, and Ireland College/University Assignments?
Talk to an Expert| Category | Assignment | Subject | Mathematics |
|---|---|---|---|
| University | The University of Queensland (UQ) | Module Title | MATH1051 Calculus and Linear Algebra |
| Due date: | Fri 16 May 2025, 4 pm |
| Assignment no.: | 2 |
Are You Looking for Answer of MATH1051 Assignment 2
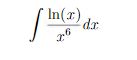
Order Non Plagiarized AssignmentA1. (2 marks) Evaluate the following integral.

A2. (2 marks) Determine whether the following series converges absolutely, converges condition- ally, or diverges.

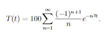
B1. (3 marks) A metal rod is cooling and the temperatureT(t)of the rod, in degrees Celsius, at timetminutes (t≥0) is given by,

Determine the values of for whichT(t)is a well-defined function describing the temperature of the rod. In other words, determine the interval of convergence forT(t).
B2. (3 marks) Consider the sequence{an }∞n=1 given by

Determine the limit of{an }∞n=1 or show that the sequence diverges.
B3. (3 marks) Determine A, B, C and D to satisfy the following.

B4. (3 marks) Determine the respective values ofλ(λ∈R)such that the following system is inconsistent, has infinitely many solutions, or has a unique solution:

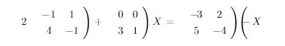
B5. (3 marks) Solve forXin the following matrix equation.

B6. (3 marks) A square matrixAhas the property thatA2=A−I.Deduce expressions for A6n+3,A6n+5andA−1(wherenis a natural number).

Buy Answer of MATH1051 Assignment 2 & Raise Your Grades
Request To By AnswerStruggling with your MATH1051 Calculus and Linear Algebra Assignment 2? Don’t worry! Our Mathematics Assignment Help service is here to make things easy for you. Whether you need expert guidance, well-researched solutions, or free assignment samples, we’ve got you covered. Our professionals provide top-quality support tailored to your university guidelines, including University assignment help. Get step-by-step assistance to understand complex business strategies and secure top grades. Need an assignment for help? Contact us now and boost your academic grads!
See the solution related of Mathematics click here: MATH1231 Mathematics Assignment Examples
Hire Assignment Helper Today!
Let's Book Your Work with Our Expert and Get High-Quality Content