Looking for Plagiarism-Free Answers for Your US, UK, Singapore, New Zealand, and Ireland College/University Assignments?
Talk to an Expert| Category | Assignment | Subject | Economics |
|---|---|---|---|
| University | Singapore Institute of Management (SIM) | Module Title | ECON1064: Quantitative Analysis |
The below graph plots the daily prices of Gold over time.

Achieve Higher Grades ECON1064 Assignment Solutions
Order Non Plagiarized AssignmentFor each of the below ACF plots which are obtained for a time-series data of 4 different variables of interest:


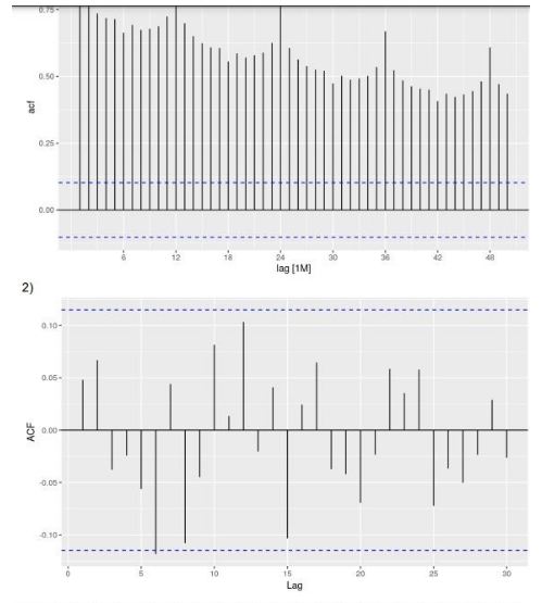
The following ACF plots were produced for raw data of monthly sales of two different variables, A and B.
Variable a

Variable b

Get the Solution of ECON1064 Assignment. Hire Experts to solve this assignment Before your Deadline
Order Non Plagiarized AssignmentFor the following time series plots, explain what type of transformation, if any, would make the variance more stable.

The following monthly sales (in thousands of AUS dollars) of chocolate boxes have been recorded for January, February, March, and April, respectively: 8, 8, 5, 9. Focusing on sales forecast accuracy for the month of April only, explain which of the following forecasting method would you recommend: the Naïve method, the Average method, or the Simple exponential smoothing method (assuming alpha=0.8 and the initial state of 7)?
The variable income (yearly) is examined in a regression setting where the predictor variable is lag (1) of income and the following output is produced.
The following plots have been obtained for a time series.

Examining the below R output, explain what model was selected for forecasting?
Buy Answer of ECON1064 Assignment & Raise Your Grades
Request To By AnswerStruggling with your ECON1064: Quantitative Analysis Assignment? Well! Stop worrying now. You are at the right place. Our platform provides Online Assignment Help in Singapore. We have experienced writers who provide high-quality, no-plagiarism assignments with 100% original content, and here are free assignment samples. that you can look over to see the quality of our work. Contact us right now and get high grades in your academics.
Hire Assignment Helper Today!
Let's Book Your Work with Our Expert and Get High-Quality Content