Looking for Plagiarism-Free Answers for Your US, UK, Singapore, New Zealand, and Ireland College/University Assignments?
Talk to an Expert| Category | Assignment | Subject | Computer Science |
|---|---|---|---|
| University | University of Chester | Module Title | CO7061 Intelligent Systems, Sensors and Control |
| Assessment Title | Coursework 1 |
|---|---|
| Academic Year | 2026-27 |
This coursework is to assess the understanding of concepts learned during the past period of study of the module contents on principles, system characteristics analysis, mathematics representation, system simplification methods, and applied in problem solutions; also to demonstrate team efforts.
Competencies / Learning Outcomes [Delete as appropriate] Assessed
Submission Window, Exceptional Circumstances, and Assessment Regulations
You are expected to submit work by the submission date specified at the start of the assignment specification. Some assignments may support a 7-day window in which students can submit work late without penalty, and this will be specified below the submission date at the start of this brief. Any work submitted outside of the submission date (or submission window, where allowed) will be given a mark of zero.
You can find details about what you need to do if you are unable to submit the assessment on time on the Registry Services Exceptional Circumstances Portal page. Any deferral request must be submitted online within 7-days of the final submission date (or submission window where allowed). In all cases, evidence will be required to support the deferral.
Deadline for applying for a deferral to the next assessment point: Specify date
You can find out more about University regulations related to assessment on the Registry Services Assessment Regulations page.
Academic Conduct
The University Academic Conduct Policy explains how students are expected to take responsibility for the fair presentation of the contents of any work they present for assessment. This includes acknowledging the use of Artificial Intelligence tools. Breaching the academic conduct policy can have serious penalties.
The material you submit must be your own work. You must not collude with your peers on your work unless the brief explicitly allows this (such as in the case of group work). Further information is available below
All sources used must be cited and referenced using the APA format. Guidance on how to cite and reference sources can be found in the Cite Them Right Online guidance (sign in with your University network account)
Task 1. (20 Marks)
Represent the given control system transfer function in state space in vector-matrix form.

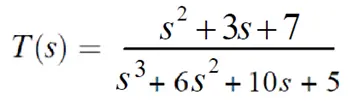
Task 2. (20 marks)
Find the given control system’s transfer function:

Task 3. (20 marks)
Reduce the system block diagram shown in Figure T3 to a single block.

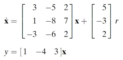
Task 4. (20 marks)
Develop a signal-flow graph for the control system represented by the state equations:

Order Custom Answer for CO7061 Intelligent Systems, Sensors and Control Assignment
Pay & Buy Non Plagiarized AssignmentTask 5. (20 marks)
Using Mason’s rule, find the transfer function, T(s) = C(s) =R(s), for the system represented by Figure T5:

|
Assignment Task (LOs Covered) |
Fail (<50%) |
Pass (50-59%) |
Merit (60-69%) |
Distinction (>=70%) |
|
Assignment Task All required tasks are listed in the coursework brief |
|
|
|
|
Looking for Assignment Help for your CO7061 Intelligent Systems, Sensors and Control at University of Chester (UoC)? We offer expert guidance to help you ace your assignments and exams. Our team of qualified professionals provides 100% plagiarism-free, AI-free, and high-quality assignment sample solutions tailored to your academic needs. We ensure timely delivery and help you understand complex financial concepts in a simple, easy-to-understand way. Improve your grades and secure your academic future with our trusted services. Contact us now and boost your grades!
Hire Assignment Helper Today!
Let's Book Your Work with Our Expert and Get High-Quality Content