Looking for Plagiarism-Free Answers for Your US, UK, Singapore, New Zealand, and Ireland College/University Assignments?
Talk to an Expert| Category | Assignment | Subject | Engineering |
|---|---|---|---|
| University | Toronto Metropolitan University | Module Title | AER509 Control System |
| Deadline | 20 June 2025 |
| Academic Year | 2025 |
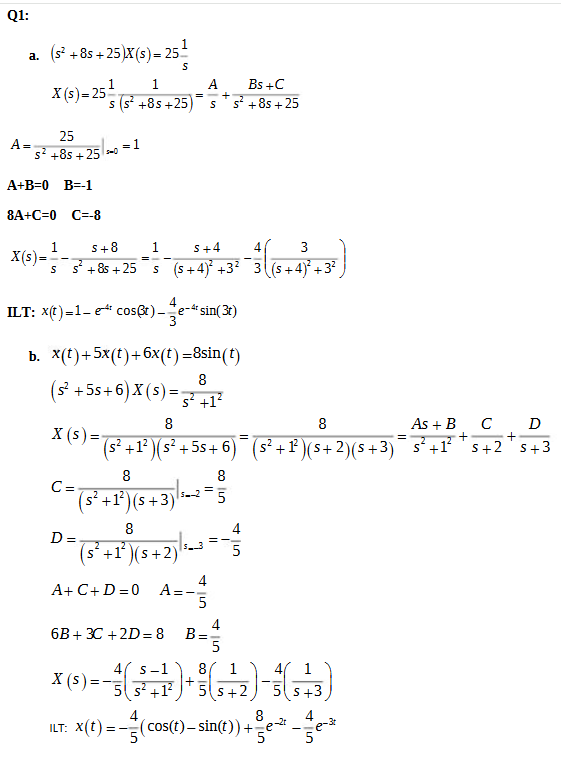
Solve the following different equations using the Laplace transform, assuming the initial conditions are zeros.
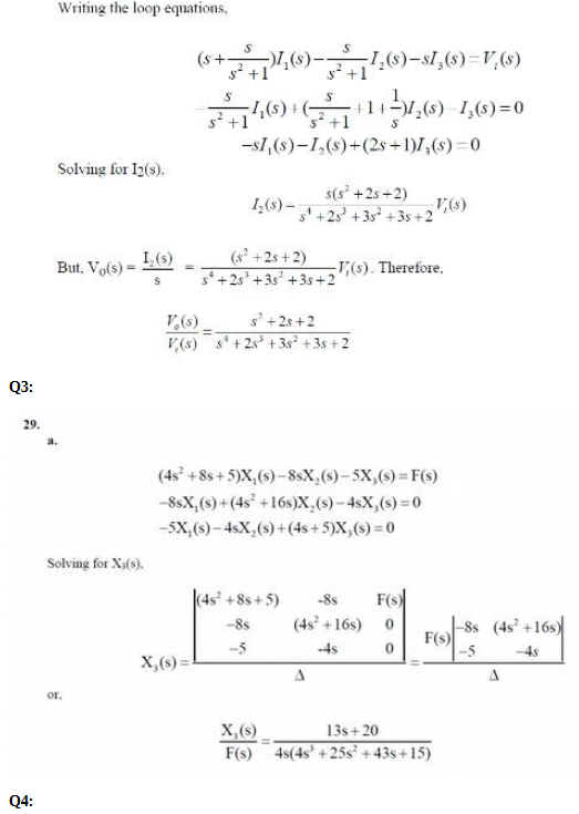
Find the transfer functions: G(s)=Vo(s)/Vi (s). (For problem b, combine the middle inductor and capacitor into one impedance.)


Do You Need AER509 Assignment of This Question
Order Non Plagiarized Assignment


Get expert assignment help for AER509 Control System! We specialise in offering high-quality mechanical engineering assignment help, with an option for students to pay our experts to take on their assignment challenges. Need a reference? We also provide a free list of assignment examples to help you get started. With years of experience, our writers deliver 100% plagiarism-free content and offer unlimited revisions to meet your needs. Trust us to help you excel in your studies!
Hire Assignment Helper Today!
Let's Book Your Work with Our Expert and Get High-Quality Content