Looking for Plagiarism-Free Answers for Your US, UK, Singapore, New Zealand, and Ireland College/University Assignments?
Talk to an Expert| Category | Assignment | Subject | Engineering |
|---|---|---|---|
| University | University of Technology Sydney (UTS) | Module Title | CVEN3501 Water Resource Engineering |
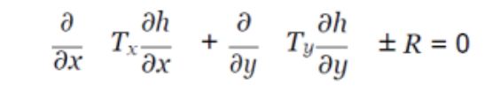
We often need to include the impact of groundwater pumping at a known rate in groundwater models. In this assignment you will build a simplified 2D numerical model to assess the impacts of pumping. The following differential equation describes 2D flow in a confined aquifer with a source or sink term R, here at a pumping node:

Here, R > 0 for injection into the model, and R < 0 for abstraction from the model. Refer to your course notes for how to solve this equation using the finite difference approach in two dimensions. In all other nodes R = 0, so that pumping is only happening in one node.
You will need to consider how to modify Equation 1 to represent injection/abstraction from a uniform and isotropic aquifer using the finite difference method.
HINT: Consider the dimensions of the term R in Equation 1, they are not L / T 3
The objective of the assignment is to use Microsoft Excel to investigate the effect of changing boundary conditions on a rectangular isotropic and homogeneous confined aquifer, firstly without pumping and then including a groundwater pumping bore abstracting or injecting water. The assignment is based on the analysis by Frank and Reilly (1987).
You should set up a model for your unique aquifer. Figure 1 is an example and does not necessarily match your aquifer dimensions. Your aquifer has an area X m wide (AB and CD) by Y m long (BC and DA). Use a finite difference discretization where Δx = Δy = 100 m. Your model will then be X’ nodes wide in the x-direction along boundaries AB and CD and Y’ nodes long in the y-direction along boundaries BC and DA.
In the example, the aquifer is X = 800 m wide by Y = 1500 m long and Δx = Δy = 100 m. This model therefore has X’ = 9 nodes in the x-direction (from node 0 to node 8 along boundaries AB and CD) and Y’ = 16 nodes in the y-direction (from node 0 to node 15 along boundaries BC and DA). See Figure 1.
Each student will have a unique set of data for the transmissivity (T [m2/day]), Pumping rate (Q [m3/day]), initial head conditions (h [m]), and an x-y coordinate representing the bore location. Find your data by searching your z-id in the excel sheet on Moodle (CVEN3501 Assignment 2 individual values 2025.xlsx). Figure 1 shows how the bore location x-y coordinates correspond to nodes in the numerical scheme.
For the spreadsheet to successfully iterate, circular references should be enabled. In Microsoft Excel 2010+ this is done under the menus: ”File” – ”Options” – ”Formulas”: Here you need to tick ”Enable iterative calculation”, set ”Maximum iterations” to 30,000 and ”Maximum change” to 0.0001.

Buy Answer of CVEN3501 Assignment & Raise Your Grades
Request To By AnswerModel 1: The aquifer is surrounded by Dirichlet (fixed head) boundary conditions. Use a linear decrease in head from h m to 0 m along BC and AD, a fixed head of 0 m along boundary CD, and a fixed head of h m along boundary AB.
Model 2: The aquifer is surrounded by a mix of Dirichlet and Neumann (no flow) boundary conditions. Use a no-flow boundary condition (with ∂h/∂x = 0) across BC and AD, a fixed head of 0 m along boundary CD, and a fixed head of h m along boundary AB.
Provide The Answers For The Following Questions In Moodle:
Again, using your unique values of the transmissivity, the bore node location and the pumping (or injection) rate given on the assignment sheet, calculate the water level (relative to the datum) at the given node location and the flows across each of the 4 boundaries for Model 2 (Dirichlet and Neumann conditions). Use the same convention for the direction of flow as in the preceding question. Report the following: [10 marks]
For Model 2, what is the theoretically expected flow over boundary BC? [1 mark]
Please NOTE: the order (numeration) of the possible answers may be different in the Moodle submission link.
If the pumping rate doubles, what will happen to the drawdown at your pumping node (absolute magnitude of change)?
Based on your value for transmissivity, and assuming a uniform aquifer thickness of 5 m, this model most likely represents
If you halve the discretisation of your model, i.e., from Δx = Δy = 100 m to Δx = Δy = 50 m, what will happen to the model truncation error?
What best describes this model?
Can the models be used to simulate temporal changes?
Can this model be used to model vertical flows?
Model boundary conditions are meant to represent the real boundaries of your groundwater system. Which of the following features would you model with a Dirichlet (fixed head) boundary?
Model boundary conditions are meant to represent the real boundaries of your groundwater system. Which of the following features would you model with a Neumann (no flow) boundary?
Based on your answers to all previous questions, which is the most important parameter for your models (i.e., what are your models most sensitive to)?
If you built an unconfined (water table) model, would the drawdown at your pumping well be smaller or larger (absolute magnitude of change)?
Frank, C. L. and Reilly, T. E. (1987). The effects of boundary conditions on the steady-state response of three hypothetical groundwater systems – results and implications for numerical experiments. Water- Supply Paper 2315, US Geological Survey.
Get the Solution of CVEN3501 Assignment. Hire Experts to solve this assignment Before your Deadline
Order Non Plagiarized AssignmentAre you struggling with CVEN3501 Water Resource Engineering Assignment? Don’t stress! Our engineering assignment help service is here to guide you. We provide expert assistance, ensuring top-quality content that meets university standards. We provide all assignment services like Accounting assignment, Financial Statement Analysis Assignment etc. Need inspiration? Check out our free assignment samples to understand the perfect structure and approach. With our assignment writing help, you get plagiarism-free, well-researched solutions on time. Contact us today and experience hassle-free academic success!
Hire Assignment Helper Today!
Let's Book Your Work with Our Expert and Get High-Quality Content